דוח ניתוח נתוני מכירות רכב

Automotive Sales Analysis Dashboard

ניתוח מקיף של נתוני RV ומדדי דיוק חיזוי

3,321
סה"כ רכבים בניתוח
Total Vehicles Analyzed
$9,690,290
גודל טעות כלכלית כולל
Total Economic Error Size
$2,918
גודל טעות כלכלית ממוצעת לרכב
Average Economic Error Size per Vehicle
0.700
קורלציה RV מנורמל
RV Normalized Correlation vs Selling Price
קורלצית Spearman: 0.708

השפעה כלכלית

Financial Impact Analysis

ניתוח השפעה כלכלית מקיף

Economic Impact Analysis

פירוט פיננסי מפורט

Financial Breakdown Analysis

פילוח הפסדים לפי מותג:

דירוג מותג כמות רכבים טעות ממוצעת טעות כוללת
1Skoda701$3,193$2,238,064
2Ford650$2,544$1,653,644
3Renault590$1,937$1,142,902
4Peugeot365$2,109$769,824
5Volkswagen228$3,169$722,515
47%
רכבים תמחור יתר
$3,227
ממוצע תמחור יתר
53%
רכבים תת תמחור
$2,689
ממוצע תת תמחור

ניתוח הנתונים

Data Analysis & Correlations

מטריצת קורלציות (כולל משתנים חדשים)

Correlation Heatmap

התפלגויות משתנים נומריים

Numerical Distributions

ניתוח זמני

Temporal Analysis

מגמות עונתיות

Seasonal Trends

קורלציות עיקריות עם מחיר מכירה:

0.856
ערך ספר ראשוני
0.859
RV.cotr מקורי
0.700
RV מנורמל תוקן
0.708
Spearman מנורמל

ניתוח מתקדם

Advanced Analytics & Outlier Detection

זיהוי ערכים קיצוניים מתקדם

Advanced Outlier Detection

גרפי פיזור - מחיר מול משתנים

Price Scatter Plots

זיהוי ערכים קיצוניים - BoxPlots

Outlier BoxPlots

סטטיסטיקות ערכים קיצוניים:

127
ערכים קיצוניים במחיר (3.8%)
164
ערכים קיצוניים ב-RV (4.9%)
146
Mahalanobis (4.4%)
332
Isolation Forest (10.0%)

ניתוח תקופות חוזה

Contract Period Analysis - Native vs Actual

השוואת תקופת חוזה מתוכננת מול בפועל

Native vs Actual Period Analysis

סטטיסטיקות תקופות חוזה:

15.9%
סיום מוקדם (528 רכבים)
27.6%
סיום בזמן (915 רכבים)
56.5%
סיום באיחור (1,878 רכבים)
42.8
תקופה מתוכננת ממוצעת (חודשים)

ניתוח קטגוריאלי

Categorical Analysis

התפלגות קטגוריות

Categorical Distributions

מחיר לפי קטגוריות - BoxPlots

Category BoxPlots

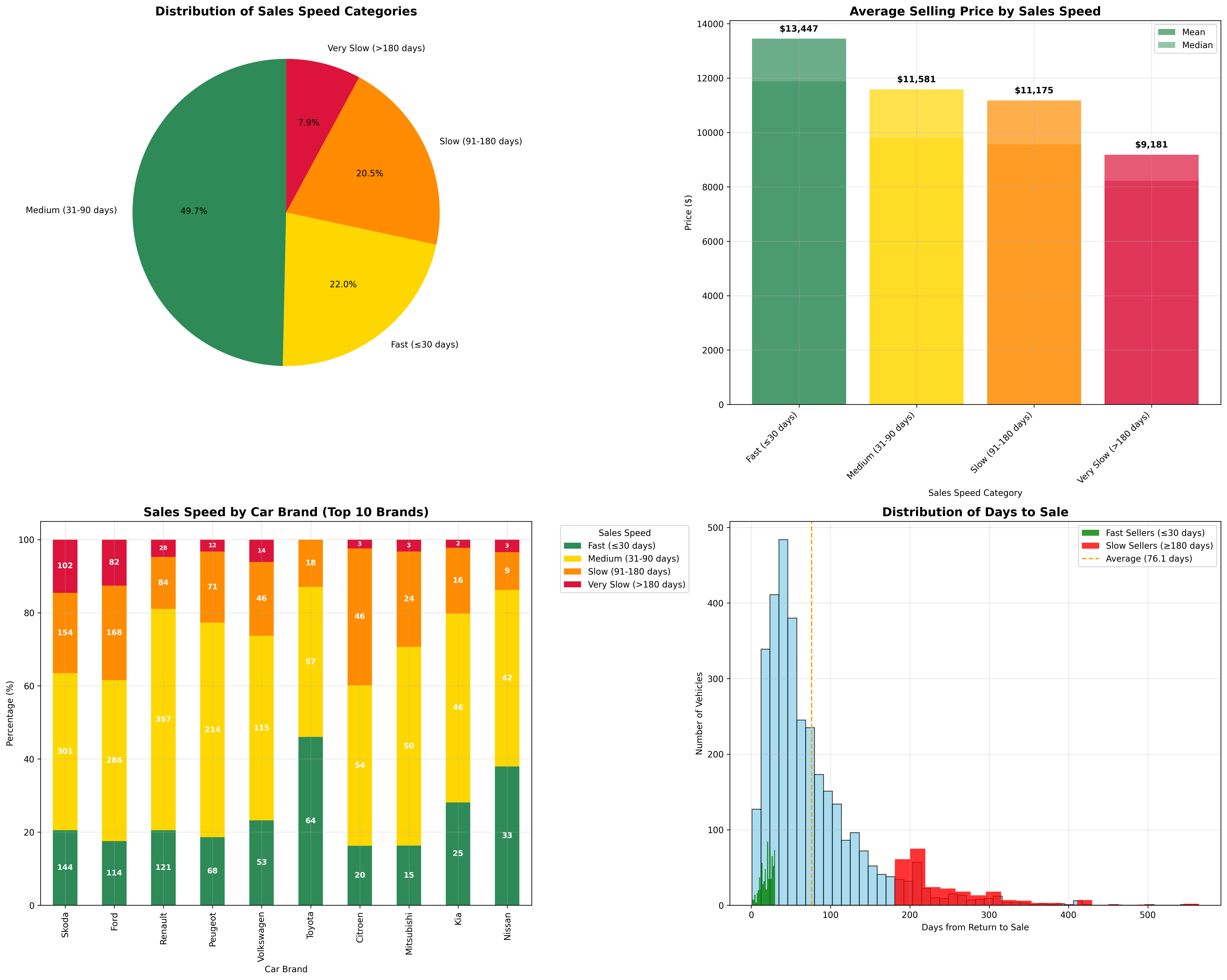
ניתוח מהירות מכירה

Sales Speed Analysis

מחיר לפי קטגוריות

Price by Categories

ניתוח מהירות מכירה לפי צבע רכב

Sales Speed Analysis by Vehicle Color

ניתוח מקיף: מהירות מכירה מרגע החזרה עד למכירה (Days_Return_to_Sale)

Sales Speed by Color

ניתוח שגיאות תמחור לפי צבע רכב

Pricing Error Analysis by Vehicle Color

ניתוח מקיף: שגיאות תמחור לפי צבע רכב

Pricing Error by Color

ניתוח שגיאות תמחור לפי שנת ייצור

Pricing Error Analysis by Production Year

כמות רכבים: תמחור יתר מול תת תמחור לפי שנת ייצור

Pricing Error Count by Year

ניתוח מקיף: תמחור יתר מול תת תמחור - ממוצעים ומגמות

Pricing Error by Year Analysis

טוען נתונים...